
速豹新闻网淄博讯(记者 苗露 王盛利 通讯员 王莎 丁昊) 记者近日从淄博高新区获悉,2023年上半年淄博高新区A股上市公司营收和净利润情况,在生物医药、医疗器械、智能装备、教育出版、软件开发行业的5家企业营收出现增长,在玻璃陶瓷、化工、纺织、饲料、原料、投资行业的6家企业营收有所下降。

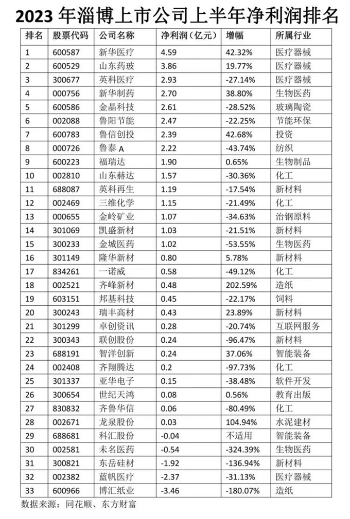
经济指标是衡量区域发展质量的第一要素。2023年上半年,淄博高新区11家A股上市公司实现净利润17.08亿元,其中新华医疗、新华制药、智洋创新、世纪天鸿、鲁信创投实现净利润增长。新华医疗、新华制药、金晶科技、鲁信创投、鲁泰A稳居淄博市A股上市公司2023年上半年盈利前十位,分别为4.59亿元、2.70亿元、2.61亿元、2.39亿元、2.22亿元。新华医疗作为国内研发生产医疗器械的龙头企业,半年净利润位居淄博市A股上市公司首位。

Wind数据显示,在营收方面,淄博高新区11家A股上市公司2023年上半年共实现营收总额214.39亿元,其中新华医疗、新华制药、智洋创新、世纪天鸿、亚华电子5家企业营收同比增长。新华医疗、新华制药、金晶科技、一诺威、鲁泰A在淄博市A股上市公司中营收总额位居前十位,超过40亿元的企业仅有新华医疗、新华制药。
企业上市离不开各层面的培育扶持。2023年以来,淄博高新区新增一诺威、亚华电子2家A股上市公司,截至目前,淄博高新区共有上市挂牌企业151家,其中A股上市公司11家、H股上市公司1家、股票14只、“新三板”挂牌企业7家、区域性股权交易中心挂牌企业132家、拟上市公司4家,总数位居淄博市前列。新恒汇已过会;信通电子IPO在审;启明星、长裕集团、安得医疗已报辅导。省级、市级上市后备企业27家。
后疫情时代,随着经济的复苏崛起,根据淄博高新区A股上市公司“期中考”成绩分析,以高新技术产业和高端制造业为优势的淄博高新区未来将继续着力在生物医药、医疗器械、智能装备、教育出版、软件开发行业开拓新赛道,全力迈向新高度。
编辑:王盛利
责编:苗露